购物车
全部删除
您的购物车当前为空
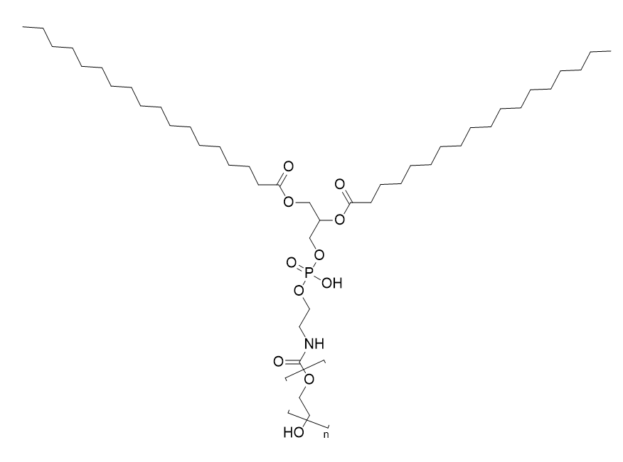
DSPE-PEG 2000 是一种无毒且可生物降解的两亲性共聚物,可用于形成胶束来传递纳米颗粒。


为众多的药物研发团队赋能,
让新药发现更简单!
DSPE-PEG 2000 是一种无毒且可生物降解的两亲性共聚物,可用于形成胶束来传递纳米颗粒。
| 规格 | 价格 | 库存 | 数量 |
|---|---|---|---|
| 1 mg | ¥ 145 | 现货 | |
| 5 mg | ¥ 322 | 现货 | |
| 10 mg | ¥ 466 | 现货 | |
| 25 mg | ¥ 776 | 现货 | |
| 50 mg | ¥ 1,100 | 现货 | |
| 100 mg | ¥ 1,620 | 现货 | |
| 200 mg | ¥ 2,420 | 现货 |
| 产品描述 | DSPE-PEG 2000 is a non-toxic and biodegradable amphiphilic copolymer that can be used to form micelles to deliver nanoparticles. |
| 分子式 | (C2H4O)nC42H82NO10P |
| CAS No. | 892144-24-0 |
| 颜色 | White |
| 物理性状 | Solid |
| 存储 | keep away from direct sunlight,keep away from moisture,store at low temperature | Powder: -20°C for 3 years | In solvent: -80°C for 1 year |
| 溶解度信息 | DMSO: 60 mg/mL, Sonication is recommended. Ethanol: 20 mg/mL, Sonication is recommended. H2O: 20 mg/mL, Sonication is recommended. |
| 体内实验配方 | 10% DMSO+40% PEG300+5% Tween 80+45% Saline: 2 mg/mL, Sonication is recommended. 请按顺序添加溶剂,在添加下一种溶剂之前,尽可能使溶液澄清。如有必要,可通过加热、超声、涡旋处理进行溶解。工作液建议现配现用。以上配方仅供参考,体内配方并不是绝对的,请根据不同情况进行调整。 |
以上为“体内实验配液计算器”的使用方法举例,并不是具体某个化合物的推荐配制方式,请根据您的实验动物和给药方式选择适当的溶解方案。
对于不同动物的给药剂量换算,您也可以参考 更多