您的购物车当前为空
化合物筛选
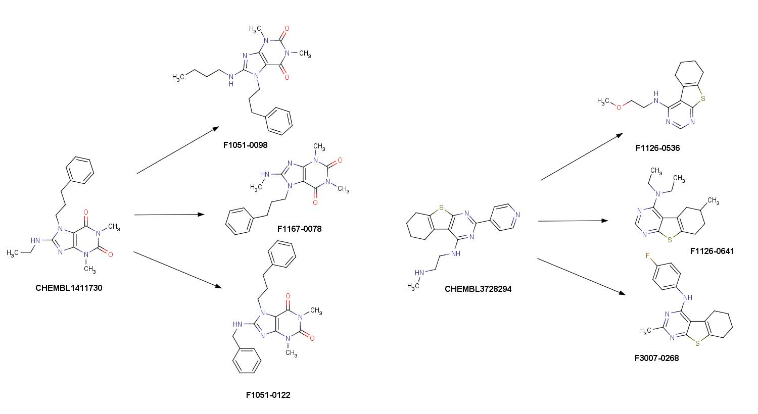
从ChEMBL数据库中提取了超过35,000个具有抑制PI3K/Akt/mTOR通路组分活性的分子作为参考集(IC50、Ki值等小于10 μM,抑制率大于50%)。随后采用二维指纹相似性搜索方法(塔尼莫托系数>0.80),对内部数据库与上述PI3K/Akt/mTOR通路抑制剂参考集进行比对分析(图1)。最后通过内部药物化学过滤器去除PAINS结构、毒性基团及反应性基团,最终获得4,600个小分子筛选化合物。
该PI3K靶向库的预测活性分布如下分子靶点(图2):
- 3-phosphoinositide dependent protein kinase-1
- AMP-activated protein kinase (AMPK) alpha-1/beta-1/gamma-1
- AMP-activated protein kinase, alpha-1, alpha-2 subunits
- AMP-activated protein kinase, AMPK
- AMPK alpha2/beta1/gamma1
- DEPTOR/mTOR
- DNA-dependent protein kinase
- Glycogen synthase kinase-3
- Glycogen synthase kinase-3 alpha & beta
- MAP kinase p38
- MAP kinase p38 alpha/beta/gamma/delta
- Maternal embryonic leucine zipper kinase
- mTORC1
- NUAK family SNF1-like kinase 1
- Phosphatidylinositol 3-kinase catalytic subunit type 3
- Phosphatidylinositol-4-phosphate 3-kinase C2 domain-containing beta polypeptide
- Phosphatidylinositol-4-phosphate 3-kinase C2 domain-containing subunit gamma
- PI3-kinase p110-alpha subunit
- PI3-kinase p110-alpha/p85-alpha
- PI3-kinase p110-beta subunit
- PI3-kinase p110-delta subunit
- PI3-kinase p110-delta/p85-alpha
- PI3-kinase p110-gamma subunit
- PI3-kinase p85-alpha subunit
- PI4-kinase alpha subunit
- PI4-kinase beta subunit
- Protein kinase C (PKC)
- Protein kinase C alpha
- Protein kinase C beta
- Protein kinase C eta
- Protein kinase C gamma
- Protein kinase C iota
- Protein kinase C zeta
- Ribosomal protein S6 kinase
- Ribosomal protein S6 kinase 1
- Ribosomal protein S6 kinase 2
- Ribosomal protein S6 kinase alpha 1
- Ribosomal protein S6 kinase alpha 2
- Ribosomal protein S6 kinase alpha 3
- Ribosomal protein S6 kinase alpha 4
- Ribosomal protein S6 kinase alpha 5
- Ribosomal protein S6 kinase alpha 6
- Serine/threonine-protein kinase AKT
- Serine/threonine-protein kinase AKT2
- Serine/threonine-protein kinase AKT3
- Serine/threonine-protein kinase mTOR
- Serine/threonine-protein kinase PLK1
- Serine/threonine-protein kinase PLK2
- Serine/threonine-protein kinase PLK3
- Serine/threonine-protein kinase PLK4
- Serine-protein kinase AT








































很棒

|